fanout (EXPERIMENTAL)Copies stdin and sends it to multiple pipelines, collating their output
fanout allows the the output of one process to be copied
to multiple pipelines (also known as vertices) in a one-to-many
approach.
Where normal pipelines would follow the logic of having the output of
process A connected to the input of process B. With fanout,
you can connect that pipe to many processes (vertices) without
worrying about any contentions reading from the pipe nor race
conditions.
Each vertex runs in parallel from the moment
fanout is invoked. And fanout will wait until
all vertices have complete before fanout
exits.
By default, the datatype of stdout will match the datatype of stdin.
By default, stdout of each vertex will merged according to the rules of that particular datatype and data structure.
With arrays, fanout will preserve the order of the array
based on the order of the vertices and NOT by the order in
which a vertex completes.
This means that even if vertex B completes before vertex A, vertex B’s output will still appear after vertex A in the array.
Maps in most document formats (eg JSON) do not preserve ordering. So this means vertex B could appear before vertex A, or even overwrite any values defined by the output of vertex A.
The order of precedence for when output from vertices are
merged will still follow the order the vertices were defined in
the parameters of fanout.
So vertex C and D could overwrite vertex B and A, and vertex B could only overwrite vertex A.
To combine the output of each vertex in fanout
as a simple byte stream, use the --concat flag.
The output of each vertex will be written to
fanout’s stdout in the order in which the vertices
were defined in fanout’s parameters. So there is no risk of
one vertex’s output getting jumbled with the output of another
vertex.
<stdin> -> fanout [ flags ] { code block } { code block } { code block } ... -> <stdout>
<stdin> -> fanout [ flags ] --parse {
{ code block }
{ code block }
{ code block }
...
} -> <stdout>
See below for a list of optional flags.
The following example will merge the output of four different vertices into one JSON array:
» dag --datatype json { %[four] } { %[two] } { %[one] } { %[three] }
[
"four",
"two",
"one",
"three"
]
The following example will merge the output of four different vertices into one JSON object:
» dag --datatype json { %{4: four} } { %{2: two} } { %{1: one} } { %{3: three} }
{
"1": "one",
"2": "two",
"3": "three",
"4": "four"
}
Compare the file size of Murex after it has been deflated by different compression algorithms:
» open $MUREX_EXE -> fanout --concat --parse {
{ printf 'File type:\t' }
{ -> file - }
{ printf 'Original size:\t' }
{ -> wc -c }
{ printf 'xz:\t\t' }
{ -> xz -c | wc -c }
{ printf 'bzip2:\t\t' }
{ -> bzip2 -c | wc -c }
{ printf 'gzip:\t\t' }
{ -> gzip -c | wc -c }
}
--concat Combines the output of each vertex as
a byte stream--datatype Defines the datatype for
fanout’s stdout. Overriding what would otherwise be defined
by the stdin for fanout--parse Tells fanout to expect one
parameter and to parse that for each vertex. The parameter must
be surrounded by curly braces: { and }. This
flag allows for readability improvements where fanout
vertices can occupy dedicated lines without the need for hacks
like dangling escapes (ie \\LF)-c alias for --append-p alias for --parse-t alias for --datatypefanout is inspired by the theory of directed acyclic
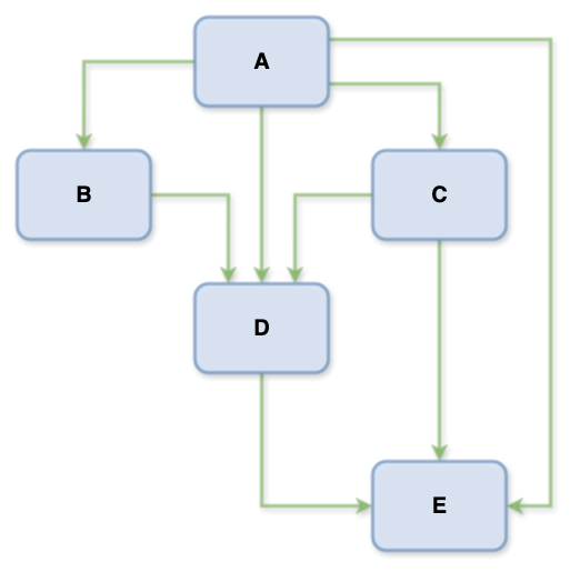
graphs (DAG) where:
[DAG]s consist of vertices and edges (also called arcs), with each edge directed from one vertex to another, such that following those directions will never form a closed loop. A directed graph is a DAG if and only if it can be topologically ordered, by arranging the vertices as a linear ordering that is consistent with all edge directions.
(source: Wikipedia)
pipe: Manage Murex named pipes<pipe>: Reads from a Murex named pipeThis document was generated from builtins/core/dag/fanout_doc.yaml.
This site's content is rebuilt automatically from murex's source code after each merge to the master branch. Downloadable murex binaries are also built with the website.
Last built on Wed Dec 10 23:24:04 UTC 2025 against commit ec623f9ec623f9e05b9cd816d1c93e90c807e23ff173cd9.
Current version is 7.1.4143 (unknown) which has been verified against tests cases.